Penza, Penza, Russian Federation
from 01.01.2000 until now
Penza, Penza, Russian Federation
CSCSTI 67.01
CSCSTI 67.21
CSCSTI 67.53
Russian Classification of Professions by Education 270000
Russian Library and Bibliographic Classification 38
Russian Library and Bibliographic Classification 308
Russian Trade and Bibliographic Classification 5412
Russian Trade and Bibliographic Classification 5413
The technical condition of the foundation soils and the asphalt-crushed stone covering of the territory of the linear production dispatch station (LDPC) “Penza” of the oil pipeline “Druzhba” were carried out. The genesis and strength characteristics of crushed stone are revealed. The selection of soil samples of the damaged structure was made and the basic physical and mechanical parameters of the foundation grounds necessary for calculation were determined. It is established that the strength of the foundation soils is high enough and will ensure the reliable operation of foundations of capital buildings and structures.
research, limestone, crushed stone, strength, foundation.
Целью обследования являлось выявление техническое состояние грунтов основания и асфальто - щебёночного покрытия территории линейной производственно-диспетчерской станции (ЛПДС) «Пенза» нефтепровода «Дружба».
Основанием для проведения обследования послужили следующие документы и материалы:
- письма администрации ЛПДС «Пенза» на проведение работ по исследованию свойств щебня и грунтов основания асфальтощебеночного покрытия территории ЛПДС «Пенза»;
- отбора образцов щебня из покрытия территории ЛПДС «Пенза»;
- отбора образцов грунта из основания асфальтощебеночного покрытия территории ЛПДС «Пенза»;
- результатов испытания образцов щебня на прочность с определением минералогического состава пород;
- результатов испытания образцов грунтов основания асфальтощебеночного покрытия территории ЛПДС «Пенза»;
- определения расчетного сопротивления грунтов основания территории ЛПДС «Пенза».
Для исследования свойств щебня асфальтощебеночного покрытия территории ЛПДС «Пенза» было отрыто три шурфа и отобрано 12,6 кг щебеночного материала.
Из шурфа №1 было отобрано около 1,0 кг грунтов основания для сравнения с грунтами основания всей площадки, которые были отобраны из-под почвенно-растительного слоя в траншее для подводки коммуникаций к зданию столовой.
Представленные на анализ образцы щебня представляют собой некоторые разновидности известняков с небольшим включением других пород.
Известняк – осадочная горная порода, карбонатная, состоящая главным образом из кальцита. В чистом виде химический состав известняка: CaO – 56%, CO2 – 44,0%.
В зависимости от условий генезиса известняки подразделяются на несколько типов:
- Известняки органогенного происхождения. Образуются за счет скопления скелетных остатков организмов, целых или разрушенных. В одних случаях остатки раковин довольно крупные (размеров 1 – 2 см) и такие известняки называются ракушечниками. В других случаях органические остатки обнаруживаются с трудом ввиду малой их величины или в силу происшедшей перекристаллизации материала. К этому типу относятся как плотные, так и мелоподобные разности известняков. Органогенные известняки отличаются значительной пористостью (до 15%), различной плотностью и колебаниями величин объемного веса от 1,20 до 3,10 тс/м3.
- Известняки химического происхождения. Возникают путем осаждения карбонатов из водных растворов, иногда в этом процессе принимают косвенное участие бактерии. Типичные представители – оолитовые известняки. Оолитовые известняки состоят из скорлуповатых стяжений кальцита (диаметром до 0,5 мм), сцементированных естественными кальцитовыми цементами.
- Обломочные известняки – сложены из обломков известковистого материала различной величины. Обломки представлены известняком химического или органогенного происхождения и сцементированы зернистым кальцитом.
- Известняки смешанного происхождения (обломочно-кристаллические). Характеризуются мелкими, разными по форме порами, переменной объёмной массой, низкой прочностью и высоким водопоглощением.
Известняки могут содержать различные примеси; наиболее значительными бывают примеси песчано-алевритового материала, глины, кремнезема и родственного кальциту доломита, с которыми известняки могут образовывать смеси в различных пропорциях.
Глинистая, пелитовая примесь и ее количество существенно меняют практические свойства известняков. При содержании глины свыше 50,0% известняк переходит в мергель. В чистых известняках глинистые примеси не должны превышать 2,0%. Если глины в известняке 3,0 – 4,0%, то его морозостойкость и водостойкость значительно снижается. Такие известняки малоэффективны в качестве щебня и бута.
Увеличение примесей глины до 8,0% и выше придает известнякам при обжиге гидравлические свойства. При увеличении содержания кремнистых материалов (песка, халцедона, опала) известняки становятся кремнистыми. Они отличаются большей плотностью, сцементированностью, ярко выраженным раковистым изломом и слабым вскипанием от соляной кислоты.
В доломитизированных известняках присутствует MgCO3 , что придаёт известнякам плотность, твердость, замедленную реакцию с соляной кислотой (слабая – в куске, бурная – в порошке). При выветривании доломитов образуется доломитовая мука, представляющая собой слабосцементированные скопления кристаллов доломита [1].
Представленные образцы щебня относятся в основном к двум разновидностям известняков.
Первая разновидность – известняк светло-серый, средней твердости, с шершавым неровным изломом, мелкозернистый, с редким включением остатков отряда аммоноидей – Eumphalus tabulatus, мелкопористый и пористый (размеры пор до 3 мм), бурно вскипает с 10,0% соляной кислотой в куске.
Вторая разновидность – известняк доломитизированный, светло-серый, с раковистым, остро ребристым изломом, скрытокристаллический плотный, органических остатков не обнаружено, реакция с 10,0% кислотой в куске – слабая, в порошке – бурная.
На территории Пензенской области известняки имеют ограниченное распространение и встречаются только в Иссинском и Лунинском районе (верхнее течение р. Иссы и среднее течение р. Иванырс). В других местах области эти породы залегают на значительных глубинах и малодоступны для разработки [2].
Наиболее известно Иссинское месторождение известняков оврага Каменный (рис.1). Известняк залегает здесь в виде грибовидного выступа (реликтового эрозионного останца), протягивающегося с юга на север. Общая протяженность массива составляет – 2,0 – 3,0 км (рис. 1). Минимальная глубина залегания кровли известняка – 1,5 м, максимальная – 57,0 м.

Рис.1. Форма залегания известняка месторождения о. Каменный [2]
Выходы известняков по р. Иванырс описаны у д. Березенки. Месторождение также представлено реликтовым останцем. Здесь выявлены следующие разновидности известняков:
- Известняк мелкозернистый,
- Известняк доломитизированный,
- Известняк мергелистый.
В прослоях между различными разновидностями известняков отмечается кремень, поэтому возможно существование кремнистого известняка.
Средние значения физико-механических характеристик свойств известняков Иссинского месторождения приведены в таблице 1.
Физико-механические свойства Иссинского месторождения Таблица 1
|
Разновидность |
Плотность, гс/см3 |
Пористость, % |
Водопоглощение, % |
Прочность в состоянии |
|
|
сухом |
водонасыщенном |
||||
|
Известняк мелкозернистый |
2,40 |
до 13,0 |
4,3% |
- |
301,5 |
|
Псевдоолитовый известняко |
2,60 |
до 10,0 |
4,7% |
900,0 |
400,0 |
|
Известняк обломочный (шламовый) |
2,30 |
до 22,0 |
3,5% |
162,0 |
- |
|
Известняк доломитизированный |
2,50 |
до 10,0 |
5,5% |
1020,0 |
765,0 |
Определение прочностных характеристик щебня
Для испытания из шурфа №№ 1, 2 и 3 было отобрано 12,6 кг щебня. Состав известняков оказался следующим:
|
- известняк органогенного происхождения |
- 5,90 кг (46,8%); |
|
- известняк химического происхождения |
- 6,05 кг (48,0%); |
|
- кремень |
- 0,20 кг (1,60%); |
|
- опоковидный песчаник |
- 0,45 кг (3,60%). |
Испытание образцов щебня из известняков на прочность производилось по стандартной методике в соответствии с [3].
В соответствии с ГОСТ [3] известняки характеризуются зерновым составом, формой зерен, прочностью, содержанием зерен слабых пород, содержанием глинистых и пылевидных частиц, посторонними засоряющими примесями и морозостойкостью.
Щебень асфальтощебеночного покрытия территории ЛПДС «Пенза» в соответствии с ГОСТ [3] характеризуется следующими данными:
- Зерновой состав, характеризуется содержанием частиц минимального и максимального размеров. Данный щебень состоит из частиц минимального размера диаметром около 10,0 мм и максимального размера до 120,0 мм.
- Форма зерен, характеризуется содержанием частиц пластинчатой и игловатой формы. К таким частицам относятся частицы, у которых ширина или высота в три и более раз меньше длины. Таких частиц в щебне около 30,0%. Группа щебня – обычная.
- Содержание зерен слабых пород. В щебне оказалось зерен слабых пород около 8,0%. По ГОСТ [3] для щебня обычной группы допускается содержание зерен слабых пород до 10,0%.
- Содержание пылевидных и глинистых частиц. В щебне их оказалось 2,1%. ГОСТ [3] допускает содержание их максимально до 3,0%.
- Посторонние засоряющие примеси. В массе щебня оказалось 1,6 кремня и 3,6% опоковидного песчаника, обладающих достаточной прочностью и не снижающих прочности щебня.
- Прочность щебня. Для определения прочности щебня изготавливались из крупных кусков образцы кубовидной формы с размерами 50х50х50 мм. Всего изготовлено шесть образцов из известняков всех разновидностей. Образцы изготавливались с использованием вулканитовых кругов фирмы «Bosch» для пиления каменных материалов. Опорные поверхности кубов выравнивались шлифованием с отклонением от плоскости не более 0,1 мм. После подготовки опорных поверхностей на образцы наносились вертикальные осевые линии. Образец устанавливался в центре плиты пресса путем совмещения осевых линий образца с осевыми линиями нижней плиты пресса. Между образцом и верхней и нижней плит пресса укладывались прокладки из технического войлока.
Нагрузка на образцы возрастала непрерывно и равномерно со скоростью, обеспечивающей проведение испытания примерно в течение 60 секунд [4]. Предел прочности на сжатие
определяется по формуле:
![]()
где Р – наибольшая нагрузка на образец;
А – площадь образца, вычисляемая как среднее арифметическое верхней и нижней части.
При вычислении
образцов из природного камня результаты испытаний умножатся на коэффициенты, приведенные в таблице 2.
Таблица 2
|
Размер ребра куба или диаметр, мм |
Коэффициенты |
|
|
для куба |
для цилиндра |
|
|
200 |
1,05 |
- |
|
150 |
1,00 |
1,05 |
|
100 |
0,95 |
1,02 |
|
70 |
0,85 |
0,91 |
|
От 40 |
0,75 |
0,81 |
Прочность на сжатие определяется как среднее арифметическое результатов испытания с точностью до 1,0 кгс/см2.
Результаты испытания известняков на прочность представлены в таблице 3. Среднее статическое в таблице определялось как средневзвешенное для каждой разновидности известняка.
Прочность щебня Таблица 3
|
Наименование известняка |
Площадь образца, см2 |
Сжимающая нагрузка, кгс |
Прочность на сжатие кгс/см2, Rсж |
|
Известняк органогенного происхождения |
25,0 |
6900,0 9200,0 13200 |
276,0 368,0 528,0 |
|
Известняк химического происхождения |
25,0 |
15800,0 16000,0 31500,0 |
632,0 640,0 1260,0 |
|
Среднее фактическое значение прочности |
617,0 |
||
|
Среднее статистическое значение |
620,3 |
||
|
Среднее значение по ГОСТ с коэффициентом 0,75 |
463,0 |
||
Таким образом, в соответствии с ГОСТ [3] щебень асфальтощебеночного покрытия территории ЛПДС «Пенза» имеет марку не ниже 400.
- Морозостойкость щебня. Исследование щебня на морозостойкость не производилось.
Определение физико-механических свойств грунтов
Для исследования физико-механических свойств грунтов основания были отобраны образцы грунта нарушенной структуры из траншеи для прокладки коммуникаций к столовой. Определялись простейшие характеристики, необходимые для расчёта расчетного сопротивления грунтов основания в соответствии со СП [5].
Плотность грунтов. Плотность грунтов в соответствии с ГОСТ [6] определяется методом режущего кольца. Выполнено три определения.
Результаты испытания:
- площадь колец – 50 см2. Номера колец – 1, 12 и 16. Масса колец соответственно – 42,20; 44,70 и 42,90 гс. Масса колец с грунтом – 136,0; 137,0 и 136,0 гс. Масса грунта в кольцах – 93,80; 92,30 и 93,10 гс. Плотность грунта соответственно – 1,88; 1,85 и 1,86 гс/см3. Среднее значение – 1,86 гс/см3.
Природная влажность. Влажность грунта природная определяется по ГОСТ [6] весовым методом путем высушивания при температуре 100-105°. Проведено четыре определения. Результаты следующие:
Масса бюксов – 15,50; 23,78; 15,10 и 15,15 гс. Масса бюксов с влажным грунтом – 50,78; 66,15; 49,05 и 47,00 гс.
Масса бюксов с сухим грунтом – 45,76; 60,13; 43 и 42,15 гс. Масса сухого грунта – 30,26; 36,35; 28,75 и 27,00 гс. Масса воды, удаленной при высушивании – 5,02; 6,02; 5,20 и 4,85 гс. Получены следующие значения природной влажности – 14,1; 14,2; 15,2 и 15,3%. Среднее значение природной влажности – 14,7%.
Плотность минеральных частиц. Учитывая, что для каждой разновидности грунтов эта величина изменяется в очень малых пределах для расчета принято среднее значение по результатам испытаний подобных грунтов и по литературным данным равным 2,73 гс/см3.
Коэффициент пористости определяем по формуле:
![]()
где
– плотность минеральных частиц;
– плотность природная;
– влажность природная.
Коэффициент пористости равен:
![]()
Грунты основания в природном состоянии обладают достаточной плотностью.
Пористость грунта. Пористость грунта рассчитывается по формуле:
![]()
где e – коэффициент пористости.
Пористость равна
![]()
Плотность сухого грунта. Плотность сухого грунта рассчитывается по формуле:
![]()
где
– плотность грунта природная;
– влажность грунта природная.
Плотность сухого грунта равна:
![]()
При уплотнении грунтов в насыпях технические условия требуют, чтобы плотность сухого грунта была не менее 1,55 гс/см3. Следовательно, плотность сложения грунтов основания в природном состоянии достаточно высокая.
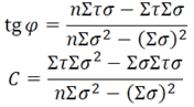
Определение прочностных характеристик. К прочностным характеристикам грунтов относятся: угол внутреннего трения φ и удельное сцепление С. Данные величины определяются по результатам испытания образцов грунта на сдвиг в срезных приборах согласно ГОСТ [7]. Испытывались грунты нарушенной структуры. Всего было изготовлено шесть образцов грунта, уплотненных различным вертикальным давлением. Затем образцы были испытаны на срезном приборе и получены соответствующие горизонтальные срезающие напряжения (рис. 2). Общее количество образцов для испытания дает возможность для обработки результатов использовать метод математической статистики – метод наименьших квадратов. Результаты испытания следующие:
- вертикальные уплотняющие напряжения σ:
1,0; 1,5; 2,0; 2,5; 1,0 и 2,0 кгс/см2.
- горизонтальные сдвигающие напряжения τ:
0,45; 0,75; 1,05; 0,95; 0,65; 0,95 кгс/см2.

Рис. 2. График сопротивления грунта сдвигу
Прочностные характеристики грунта определяются по формулам:

По результатам испытаний имеем:
![]()
Отсюда получаем:
Определение расчётного сопротивления грунтов основания.
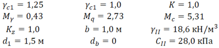
В соответствии со СП [5] расчетным сопротивлением грунтов основания можно считать максимальное среднее давление по подошве фундаментов от внешних нагрузок, которое по условиям безопасной эксплуатации строительные нормы разрешают передать на грунты основания.
Расчетное сопротивление грунта определяется по формуле:
![]()
где
– коэффициент условий работы грунтов основания;
– коэффициент условий работы сооружения совместно с основанием;
– коэффициент надежности определения физико-механических характеристик грунтов;
– коэффициенты, зависящие от угла внутреннего трения грунта;
– коэффициент, зависящий от угла внутреннего трения грунта;
b – ширина подошвы фундамента;
– среднее значение удельного веса грунтов, залегающих ниже подошвы фундаментов;
– глубина заложения подошвы фундамента;
– среднее значение удельного веса грунтов, залегающих выше подошвы фундаментов;
– глубина подвала;
– удельное сцепление.
Вычислим расчетное сопротивление грунтов основания по полученным в результате испытаний грунтов прочностным характеристикам для условного фундамента шириной подошвы 1,0 м и глубиной заложения подошвы 1,5 м [8]. Грунтами основания являются глины полутвердой консистенции.
Имеем:

Тогда расчетное сопротивление грунта будет равно:

Такое значение расчетного сопротивления грунта говорит о том, что грунты основания территории ЛПДС «Пенза» обладают достаточной прочностью и пригодны для возведения на них капитальных зданий и сооружений.
Выводы и рекомендации
- Благоустройство территории ЛПДС «Пенза» выполнено путем устройства асфальтного покрытия по щебеночному слою, подстилаемому грунтами основания природного сложения. Песчаный распределительный слой отсутствует (рис. 3).

Рис. 3. Благоустройство территории ЛПДС «Пенза» (состав покрытия)
- Щебень, используемый в покрытии, представлен в основном известняками различного происхождения. Щебень, отобранный с территории ЛПДС «Пенза» для исследования, состоит:
- известняк – 94,8%;
- кремень – 1,6%;
- опоковидный песчаник – 3,6%.
- Грунты основания асфальтощебеночного покрытия представлены глинами желтого, светло-коричневого цвета с пятнами ожелезнения в полутвердом состоянии. В грунте имеются включения опоковидного песчаника до 20,0 % по объему.
- По зерновому составу, форме зерен, содержанию слабых пород, пылеватых и глинистых частиц, посторонних засоряющих примесей – группа щебня обычная.
- По результатам испытания щебня на прочность марка щебня не ниже 400.
- Прочность грунтов основания достаточно высокая и обеспечит надежную работу фундаментов капитальных зданий и сооружений.
1. Koshkina N.V. Geotechnical substantiation of construction conditions: Textbook. allowance / N.V. Koshkina, O.V. Hryanina. Penza: PGUAS Publishing, 2012. 196 p.
2. Ivanov IA, Kondrashov AV Local building materials. Penza, 1983.
3. GOST 8267-93. Crushed stone and gravel from dense rocks for construction works. Technical conditions. Gosstroy of Russia. Date of introduction 1995-01-01.
4. GOST 8462-85. Walling materials. Methods for determining the strength limits for compression and bending.
5. SP 22.13330.2011. Bases of buildings and structures. The updated version of SNiP 2.02.01-83 *. - M .: 2011. - 161 p.
6. GOST 5180-2015. Soils. Methods for laboratory determination of physical characteristics. Date of introduction is 2016-04-01.
7. GOST 12248-2010. Soils. Methods of laboratory determination of the characteristics of strength and deformability. Update: 05/05/2017.
8. Chichkin A.F. Calculation of foundations and the design of foundations: Textbook. allowance / AF. Chichkin, A.N. Kuznetsov, O.V. Hryanina. Penza: PGUAS Publishing, 2012. 108 p.



